2024宁夏音乐高考一分一段表(含2022-2023年)
更新:2025-5-19 17:49:04    发布:大学生必备网

本文为大家整理的是宁夏2022-2024历年音乐高考一分一段表,包含本科和专科,希望对大家有所帮助。
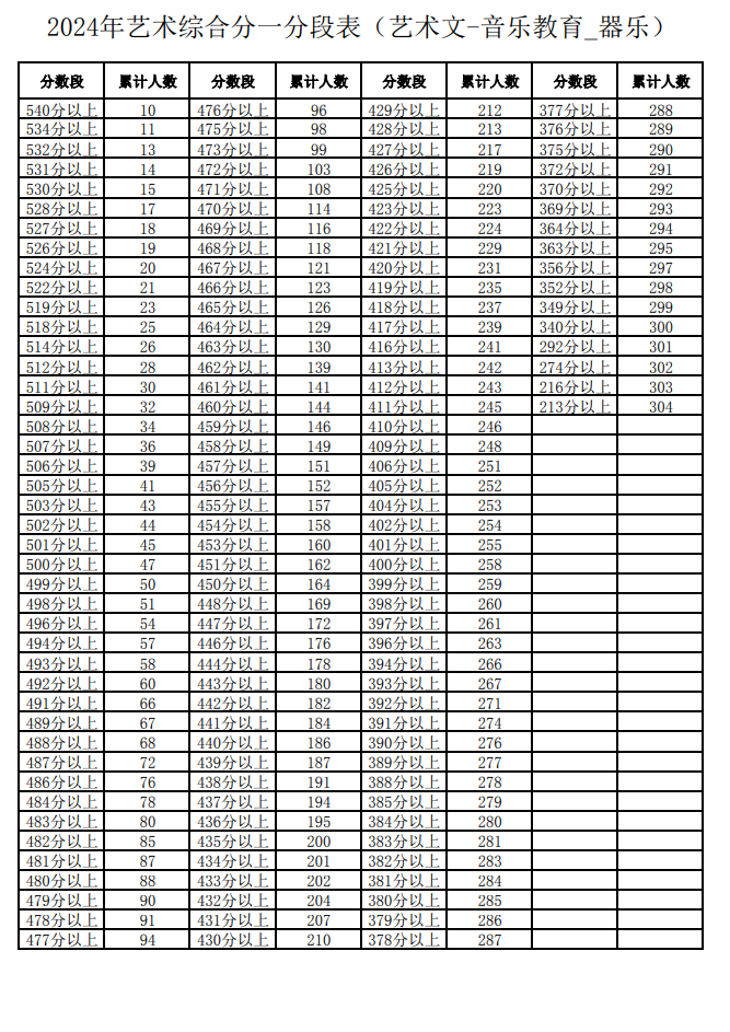
一、2024年宁夏音乐高考综合分一分段表








二、2023年宁夏音乐高考综合分一分段表


三、2022年宁夏音乐高考综合分一分段表


标签:宁夏音乐高考 

本文为大家整理的是宁夏2022-2024历年音乐高考一分一段表,包含本科和专科,希望对大家有所帮助。













2025-5-19

2025-5-19

2025-5-19

2025-5-19

2025-5-19

2025-5-19

2025-5-19

2025-5-19

2025-5-19

2025-5-19

2025-5-19

2025-5-19

2025-5-19

2025-5-19

2025-5-19

2025-5-19

2025-5-19

2025-5-19
Copyright © 大学生必备网 联系我们